
The debut of Chinese tech firm DeepSeek’s cutting-edge AI models has reignited a critical debate over the effectiveness of U.S. export controls as a strategy to curb China’s technological ambitions. Officially, these measures were designed to deny Beijing access to the hardware that fuels advancements in artificial intelligence, with the dual aim of safeguarding U.S. national security and maintaining technological supremacy. However, the emergence of the recently launched DeepSeek-R1 and the earlier V3 reveals a troubling paradox: sanctions that hinder progress in the short term often catalyze innovation in the long term.

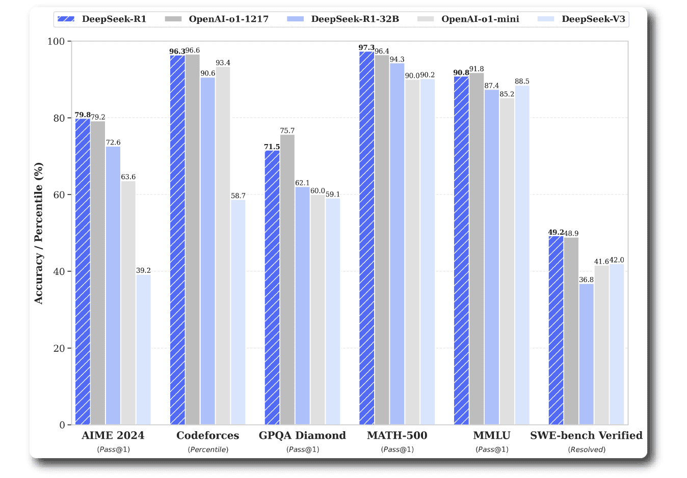
This paradox has become even more apparent particularly with the launch of DeepSeek’s R1 model on Jan. 20. If skeptics dismissed V3 as a one-off success, R1 should force a reevaluation. Building on V3’s breakthroughs, R1 raises the stakes by matching California-based OpenAI’s sector-leading O1 model in mathematics, coding, and natural language inference, all while offering API services at a fraction of the cost.
Beyond its technical performance, R1’s release event highlighted DeepSeek’s commitment to open source by sharing its underlying code and training methodologies. This approach allows businesses and researchers worldwide to build and improve on the technology collaboratively, in contrast to OpenAI’s proprietary strategy, which limits access to its systems to safeguard competitive advantages.

These developments raise an urgent question for Washington: can the United States secure lasting leadership in AI by erecting barriers, or is it time to fundamentally rethink its approach?
A demonstration of DeepSeek’s R1 model. Credit: DeepSeek
At first glance, DeepSeek’s breakthrough might seem like a game-changer for China’s AI sector. But it’s important not to overstate the case. DeepSeek is an outlier, even within China’s sprawling tech landscape. Founded by Liang Wenfeng — a self-taught entrepreneur and former quantitative trader — DeepSeek operates in a league of its own. Bankrolled entirely by Liang’s hedge fund, High-Flyer Capital, the lab is unshackled by external investors or immediate commercial pressures. This rare autonomy has allowed it to focus exclusively on foundational research, fostering a culture of experimentation that’s nearly extinct in today’s profit-obsessed tech ecosystem. So while DeepSeek’s rise is remarkable, it is far from representative of China’s AI sector, where most labs face the same relentless drive for commercialization as their U.S. counterparts.
What makes DeepSeek’s story significant — and what should give U.S. policymakers pause — is its ability to thrive despite the constraints of sanctions. Denied access to advanced semiconductors like Nvidia’s H100 GPUs, its lab adapted by developing bespoke algorithms that optimized less sophisticated H800 chips. These innovations have mitigated the hardware limitations placed on DeepSeek, offering a glimpse into a deeper truth: constraints can be powerful catalysts for creativity. When faced with scarcity, talented researchers often devise solutions that not only overcome immediate hurdles but also position them for longer-term breakthroughs. DeepSeek’s success illustrates how sanctions, while disruptive, can inadvertently fuel the innovation they seek to stifle.

The impact of these sanctions extends well beyond DeepSeek’s lab. Across China, U.S. export controls have spurred an accelerated push toward technological self-sufficiency. Beijing has committed billions to building a domestic semiconductor industry, pouring resources into research, infrastructure, and workforce development. While China remains years away from achieving parity with the United States in advanced chip manufacturing, its trajectory suggests that the technological gap is narrowing. The more the United States focuses on containment without addressing its own vulnerabilities, the more it risks hastening the erosion of its lead.
These consequences aren’t confined to China. American semiconductor companies are also paying a steep price. Industry leaders like Nvidia have lost access to one of their largest markets, undercutting revenues that would otherwise fund research and development. This weakening of their financial position directly undermines the technological edge the U.S. seeks to protect. Additionally, as Washington pressures allies to impose similar restrictions, the global semiconductor supply chain grows increasingly fragmented. The result is a splintered tech ecosystem, where duplication and inefficiency replace the collaboration and economies of scale that have historically driven innovation.
Dismissing DeepSeek’s success as an isolated fluke would be shortsighted. Its achievements illuminate both the ingenuity born of constraints and the cracks in America’s current strategy.
The growing bifurcation of global technology networks also risks isolating U.S. firms from breakthroughs elsewhere. For decades, cross-border collaboration has been a critical driver of progress, blending diverse expertise and resources to solve complex problems. By severing these connections, the United States risks ceding valuable opportunities to learn from and compete with innovations emerging outside its sphere of influence.
Top: On January 21, 2025, President Trump announced a private sector investment of up to $500 billion to fund infrastructure for AI. Bottom: On January 23, 2025, President Trump signed an Executive Order, ‘Removing Barriers To American Leadership in Artificial Intelligence’. Credit: @POTUS, White House
The greater danger, however, lies in strategic complacency. The United States cannot rely on containment strategies alone to sustain its leadership in AI and other critical technologies. Sanctions may delay China’s progress, but they are no substitute for the proactive measures needed to bolster American competitiveness. The success of DeepSeek-R1, V3 and — as seems likely — R1, underscores the critical importance of talent and infrastructure in sustaining technological dominance. For decades, China has invested heavily in STEM education, producing half of the world’s AI undergraduates each year. In contrast, the United States faces significant challenges, including outdated STEM curricula, inequitable access to technical training, and restrictive immigration policies that drive skilled professionals elsewhere. These systemic issues, if left unresolved, will erode America’s competitive edge regardless of how effective sanctions appear in the short term.

A sustainable path to leadership requires the United States to focus on reinvigorating its domestic innovation ecosystem. This means modernizing education systems to prepare a workforce capable of tackling the complexities of AI. STEM programs must evolve to equip the next generation to navigate the multifaceted challenges of emerging technologies. Equally crucial is addressing immigration barriers that deter global talent. For decades, the United States has drawn the world’s brightest minds, a cornerstone of its dominance in innovation. Streamlining pathways for highly skilled professionals would strengthen the domestic talent pool and reaffirm America’s position as a global innovation hub.
Public-private collaboration is another essential pillar. Government initiatives, modeled after DARPA’s high-risk, high-reward approach, could accelerate breakthroughs that private companies often shy away from pursuing. Encouraging firms to share data, infrastructure, and expertise — while safeguarding privacy and security — would amplify collective innovation capacity.
Dismissing DeepSeek’s success as an isolated fluke would be shortsighted. Its achievements illuminate both the ingenuity born of constraints and the cracks in America’s current strategy. More than a technological feat, DeepSeek signals the urgent need for a broader vision.
The United States still holds formidable advantages: world-class universities, a dynamic venture capital ecosystem, and a culture of entrepreneurial ingenuity. But these assets require stewardship. Sanctions may buy time, but they will not win the race. The path to leadership lies in rebuilding the foundation — education, talent, and infrastructure — and recommitting to the values that have defined America’s edge.
The author thanks Kevin Xu for feedback and comments.

Lizzi C. Lee is a Fellow on Chinese Economy at the Asia Society Policy Institute’s (ASPI) Center for China Analysis (CCA). She is an economist turned journalist, and graduated from MIT’s Ph.D. program in Economics before joining the New York-based independent Chinese media outlet Wall St TV.

